Ⅰ. 서 론
II. 그린리모델링사업 현황 및 선행연구
1. 그린리모델링 사업 현황
2. 선행연구 검토
Ⅲ. 분석 모형 및 분석 자료
1. 분석 모형
2. 분석 자료
Ⅳ. 분석 결과
1. 가스요금, 전기요금 추세 및 단위근 검정
2. 정부 지원 비율에 따른 최적 투자임계점 도출
3. 할인율별 최적 투자임계점 및 경제성 분석
4. 초기투자비용과 정부 지원에 따른 민감도 분석
5. 초기투자비용과 온실가스 감축 금액에 따른 민감도 분석
6. 가격증가율과 할인율, 𝛽에 따른 민감도 분석
7. 순간변동률과 할인율에 따른 최적투자임계점 변화
8. 잔존가치를 반영한 최적투자임계점 변화
9. 잔존가치와 정부지원 비율에 따른 최적투자임계점 민감도 분석
10. 잔존가치를 반영한 사업기한에 따른 최적투자임계점 변화
Ⅴ. 결론 및 정책제언
1. 연구요약 및 정책 제언
Ⅰ. 서 론
국토교통부 자료1)에 따르면 우리나라 건축물 중 약 75%인 542만 동 이상이 15년 이상 된 노후 건축물이며, 공공건축물의 66%(약 22만동 중 15만동)와 민간 건물 중 약 75%(705만동 중 527만동)도 노후 건축물인 것으로 확인되고 있다. 이러한 건축물의 노후화 속도가 빨라질수록 에너지 효율이 급격히 저하될 것으로 예상된다. 우리나라는 2030년 온실가스 배출량을 2018년 대비 40% 감축하는 것을 목표로 하고 있으며, 특히 파리기후협약에 따라 건물 부문에서 32.8%의 온실감축을 위해 노력하고 있다. 이와 같은 상황에서, 포스트 코로나 시대에 그린 뉴딜이 필요한 이유가 더욱 분명해지고 있다. 우리나라는 2020년 5월 한국형 뉴딜 정책을 발표하여 온실가스 감축을 위한 목표를 달성하기 위한 다양한 노력을 추진하고 있다. 본 연구는 그 중에서도 기존 건축물의 온실가스 감축을 목표로 하는 그린리모델링 사업에 대해 집중적으로 분석하고자 한다.
그린리모델링 사업은 실내 에너지 손실을 최소화하고 적은 관리 비용으로 높은 효율의 냉방과 난방 효과를 기대할 수 있다. 또한, 정부는 약 1,000동의 리모델링을 통해 온실가스 6만 톤 감축과 5천 개 일자리 창출, 6,800억 원의 경제효과를 달성할 수 있어, 이 사업이 매우 큰 경제적 효과를 가져올 것이라고 밝혔다(국토교통부, 2020). 또한, 정부는 「녹색건축물 조성 지원법」 제27조에 따라 민간 건축물에 대해서 그린리모델링 이자지원 사업을 추진해 왔으나, 2023년 11월 실적 부진 및 고금리 상황이 지속되면서 신규 사업이 잠정 중단된 상태이다. 「국가 탄소중립・녹색성장 기본계획」과 「활력 있는 민생경제 - 2024년 경제정책방향」 등 정부 계획에서는 민간 부문의 혁신 방안을 마련하고, 이를 향후 가속화 할 것을 예고하고 있다.
본 연구는 현재 시행 중인 그린리모델링 사업의 경제성 분석하여 투자 임계점을 제시하고, 향후 온실가스 감축과 에너지 정책 대응에 대한 시사점을 도출하고자 한다. 특히, 정부는 지열난방시스템에 대한 투자비용의 최대 80%를 보조하고 있어, 투자를 유보하는 것보다 자금 투자를 결정하는 것이 현명한 선택이 될 수 있다. 이처럼, 그린리모델링 투자 사업도 정부의 보조금 지원이 중요한 역할을 한다고 볼 수 있다. 본 연구에서는 에너지 비용 절감과 온실가스 감축 효과를 기대할 수 있는 그린리모델링 투자 사업에 대해 실물옵션 모형을 활용하여 경제성을 분석하였다. 이 분석을 위해 자주 이용되는 전통적인 비용편익 분석방법론과는 달리, 가격의 불확실성과 비가역적인 투자 요소 등을 반영하였기 때문에 정부의 투자 시기, 투자 규모, 보조금 규모 등을 보다 보수적이고 정밀하게 평가할 수 있다. 이러한 분석으로 인한 결과는 정책 추진의 중요한 근거로 활용될 수 있을 것이다.
본 연구의 구성은 다음과 같다. 제 II장에서는 이론적 논의를 위한 선행연구를 검토하고, 이를 통해 본 연구와의 차이점을 살펴본다. 제III장에서는 실증분석을 위해 구축한 실물옵션 모형과 자료의 특성을 설명한다. 제IV장에서는 실물옵션 실증분석 결과를 제시하고, 마지막으로 제V장에서는 본 연구의 결과를 요약하고 정책적 시사점을 제시하고자 한다.
II. 그린리모델링사업 현황 및 선행연구
1. 그린리모델링 사업 현황2)
1) 그린리모델링 사업 목적
그린리모델링은 노후화된 건물의 단열과 설비 기능을 개선하여 에너지 효율을 향상시키는 사업으로, 기존 건축물을 에너지 성능 향상 및 효율 개선을 통해 녹색건축물로 전환하는 활동을 말한다 (그린리모델링 지원 사업 운영 등에 관한 고시, 국토교통부고시 제2020-510호). [그림 1]에서 보는 바와 같이 이 사업은 냉난방비 절감과 온실가스배출량 감축을 통해 쾌적하고 건강한 주거환경을 조성하는 데 목적이 있다. 정부에서는 건물 부문 2030 온실가스 감축 목표달성과 2050년 탄소 중립 이행을 위한 사업으로 추진 중이다.
2) 그린리모델링 해외 동향
<표 1>과 같이 주요국의 녹색 건축 관련 해외 동향을 살펴보면 EU, 독일, 영국, 미국 등 선진국을 비롯하여 전 세계적으로 그린리모델링 등 녹색건축 관련 정책을 의무화 또는 확대하여 추진하고 있다.
<표 1>
주요국의 녹색 정책 동향
3) 민간건축물 그린리모델링 사업 현황
그린리모델링 사업은 저조한 사업 실적, 초기 투자비용 부담, 에너지 절감 효과, 온실가스 감축 효과에 대한 논의가 필요하다. <표 2>와 같이 정부의 지속적인 지원에도 불구하고, 민간 건물 그린리모델링 사업은 매년 증가하고 있으나 2021년 민간이자지원 사업 목표인 20,000건에 한참 못 미치는 11,722건으로 나타났다(정유미 외, 2023). 이렇게 실적이 낮은 이유는 에너지 절감을 통해 얻는 편익으로는 원금을 상환하기가 어렵기 때문이다. 초기 투자비용에 대한 부담, 신청 절차의 복잡성, 기준 금리 상승에 따른 이자 부담 등의 이유인 것으로 나타났다(정유미 외, 2023). 따라서 건물의 가치를 높이고 수익성을 인지할 수 있도록, 연차별 건물의 경제성을 평가하여 경제적 측면을 검증하는 연구가 필요하다고 하였다(정유미 외, 2023).
<표 2>
그린리모델링 사업 현황
| (단위: 건) | |||||||||
| 구분 | 2013 | 2014 | 2015 | 2016 | 2017 | 2018 | 2019 | 2020 | 2021 |
| 공공건물 | 10 | 11 | 31 | 13 | 17 | 21 | 23 | 857 | 895 |
| 민간건물 | - | 352 | 2,753 | 7,742 | 8,551 | 9,278 | 10,435 | 11,814 | 11,722 |
출처 : 정유미 외(2023), 저자 재작성
2. 선행연구 검토
그린리모델링의 대한 연구는 에너지 효율성 향상, 환경보호, 경제적 이점 등 다양한 기대효과를 가지고 있다. 이는 개인이나 사회, 나아가 국가적 차원에서 많은 영향력을 가지고 있다. 이에 많은 그린리모델링에 대한 연구가 활발히 이루어지고 있다.
첫 번째로 그린리모델링을 분석한 연구로 박기현(2021)은 그린리모델링 사업 추진을 위한 경제성 모형 구축 및 운영에 대한 시사점을 제시하였다. 사업 투자비 대비 에너지 비용 절감액이 낮음을 제시하면서 영국, 프랑스, 독일, 미국 등의 선진국 들은 다양한 형태로 무이자 대출 및 보조금을 지급하고 중장기적인 관점에서의 그린리모델링 사업을 추진하는 것으로 나타났다. 이처럼 우리나라도 민간으로의 그린리모델링 활성화를 위해서는 보조금과 세재혜택을 부여하고 홍보용 홈페이지를 운영하는 등 그린리모델링 접근성을 높이는 노력도 필요함을 확인할 수 있었다. 박기현(2021)은 LH 공동주택 사례를 대상으로 KEEI-Building 경제성 분석을 시도하였는데 초기투자비, 정부지원금, 자가부담금액, 할인율, 물가상승률, 연료비 상승률, 연간절감액, 투자회수기간, 50년 후 현재가치 환산액에 대한 변수들을 사용하였다. 분석결과, 초기 투자비가 세대당(56.1m2) 1,350만원, 연간절감액 48.4만 원 등을 고려할 때 투자비용 회수 기간이 26년으로 도출되었다. 이때 정부가 초기투자비의 20%를 지원하고 에너지 비용 상승률 2%로 가정한 시뮬레이션 결과, 초기투자비 회수기간이 21년으로 줄어드는 것으로 나타났다. 또한, 정유미 외(2023)의 연구에서는 2017년부터 2021년까지 민간이자지원사업을 통해 그린리모델링이 완료된 단독주택, 공동주택, 비주거 건축물의 실제 에너지 사용량을 바탕으로 분석하였다. 분석결과, 단독 주택은 에너지 절감 효과가 높아서 순현재가치(NPV)와 비용편익비율(B/C Ratio)은 양호하게 나타났으며, 그린리모델링 후 20년 동안 B/C 비율이 1.162로, 경제성이 높은 것으로 확인되었다. 반면, 공동주택과 비주거 건축물은 초기 투자비용과 비교하면 에너지 절감 효과가 상대적으로 낮아 경제성이 부족한 것으로 나타났다.
본 연구는 선행연구의 분석내용을 바탕으로 다음과 같이 분석 모형을 구성하였다. 박기현(2021)의 연구의 데이터의 초기투자비용, 에너지 절감 비용 등을 기본으로, 그린리모델링 사업으로 얻게 되는 온실가스 감축량을 배출권거래제 금액으로 환산한 편익과 정유미 외(2023)의 연구에서 제시한 그린리모델링 효과로 인한 건물 가치 상승에 따른 임대료 수익 등을 잔존가치로 환산하여 실물옵션 모형에 반영하였다.
두 번째로, 그린리모델링에서 중요한 것은 그린리모델링은 여러 가지 리스크가 존재하기 때문에 정교한 분석방법을 통해 리스크를 식별하고 대비하는 것이 중요하다. 이에 따라 그린리모델링에 관한 선행연구의 분석방법에 대해서 살펴보고자 한다. 분석방법에 대한 선행연구는 크게 현재가치법 분석과 실물옵션 방법으로 구분 할 수 있다. 먼저 현재가치법으로 분석한 연구는 염정령 외(2021)는 소규모 주택의 그린리모델링 도입 타당성을 현재가치법으로 경제성을 평가하였는데 정부와 지자체에서 지원하는 신재생 에너지 보조금을 반영할 때 초기투자비 회수기간이 태양광은 최대 7년, 지열은 5년, 태양광과 지열을 동시에 설치하면 최대 8년을 투자비를 회수할 수 있는 분석결과를 제시했다. 이처럼 민간건축물에 대해서 정부 보조금 정책은 소규모 주택 그린리모델링 투자에 대해 유인책으로 작동할 수 있어 정부 정책 추진 시 이를 반영할 필요가 있을 것이다.
황석호(2022)는 노후단독주택에 대한 에너지 절감 수준에 따른 단열재 종류와 두께 등에 대해서 현재가치법으로 경제성 분석을 진행했다. 분석 결과 XPS(Extruded Polystyrene) 폼 단열재의 경우 분석사례 중 에너지성능과 순현재가치가 가장 높지만, 단열재 두께 증가로 인한 에너지 비용 절감보다 시공비 증가가 크기 때문에 경제성이 낮았다. 재료비가 가장 저렴한 EPS(Expendable Polystyrene) 폼 1등급 4호는 가장 빠른 투자 회수 기간을 나타냈다. 반면 에너지 절감에 따른 비용 절감을 고려한 비용 편익 분석에서는 EPS Class 2 No.4 100mm가 가장 높은 편익을 나타냈다.
실물옵션 방법으로 분석한 연구는 정우석・서상택(2013)은 파프리카 농가를 대상으로 중유보일러를 대체하는 지열난방시스템에 대한 투자 임계점을 제시했다. 분석방법론에 있어 순현재가치법(NPV)을 대신하여 실물옵션 모형을 분석한 결과, 순현재가치법으로 분석했을 경우와 다르게 실물옵션 모형에서 더 높은 투자 임계점이 도출하였다. 이러한 방법론에 따른 분석결과의 차이점은 파프리카 생산 및 시장상황에 따른 불확실성과 투자의 비가역성을 고려할 때, 농가의 투자 결정은 더 많은 주의가 필요하다 하였다(정우석・서상택, 2013). 또한, 정보 보조 수준이 높을수록 투자임계점을 낮출 수 있다고 밝혔다.
그동안의 선행연구를 살펴보면, 그린리모델링에 대한 분석은 고전적인 비용 편익 분석이 주를 이루었다. 그러나 보다 정교한 경제성 분석을 통해 정부의 투자임계점을 도출하고, 보조금의 규모 및 투자 시기를 결정하는 것이 필요하다. 이에 본 연구는 기존 연구와 달리 실물옵션을 적용하여 시장의 불확실성과 투자의 비가역성을 반영하고자 하였다. 본 연구와 선행연구와의 차별성은 다음과 같다.
첫째, 도시가스(도매, 주택용)요금, 전기요금(판매단가) 등 시장 가격불확실성을 모형에 반영하기 위해 노력했다. 전통적인 경제성 분석 방법 기법인 B/C, NVP, IRR 등은 이러한 가격불확실성과 투자의 비가역성을 반영하지 못하는 한계점이 있기 때문에 실물옵션 모형의 장점을 최대한 활용하고자 하였다.
둘째, 정부는 그린리모델링 사업의 활성화를 위해 민간 이자 지원사업을 추진하다가 예산 부족과 저조한 사업 실적으로 종료하는 대신 공공건물에 대한 그린리모델링 사업을 계속 시행하고 있다. 따라서 정부의 효과적인 예산 투입 및 효과 극대화를 위해 정부의 최적 투자임계점을 도출할 필요가 있다. 본 연구의 실물옵션 분석을 통해 정부의 최적 투자임계점을 도출하였으며, 정부 지원 비율이 70%일 때 경제성을 확보할 수 있으며, 초기투자비용 회수 기간도 단축시킬 수 있음을 제시하였다.
셋째, 그린리모델링 사업으로 에너지비용 절감 효과와 같이 온실가스감축효과도 발생하기 때문에 온실가스 감축량을 배출권 거래제도에 판매시 얻게 되는 수익을 편익 부분의 파라미터로 추가하여 경제성을 높이고자 하였다. 민감도 분석결과, 온실가스 감축 금액이 증가하여 투자임계점을 낮추는 역할을 했다.
넷째, 그린리모델링 사업으로 인해 건물 가치의 상승효과를 기대할 수 있다. 이러한 상승효과를 잔존가치로 가정하여 실물옵션 모형에 반영하였다. 잔존가치 파라미터 효과로 순현재가치법(NPV)에서 경제성을 확보하였다. 또한, 투자 사업비 회수기간이 단축되는 효과도 확인할 수 있었다.
다섯째, 관련 법령 및 제도 개선 사항을 제시하였다. 무이자 지원, 보조금 지원 등의 선진국 사례를 검토하여 국내 실정에 맞는 온실가스감축 효과와 동시에 에너지 절감 효과를 극대화 하는 방안을 제시하였다.
본 연구는 그린리모델링의 투자 사업의 경제성을 확보하고, 온실가스 감축 정책 효과를 극대화하는 방법을 모색하고자 하였다. 이를 통해 우리나라도 선진국처럼 장기적인 관점에서 그린리모델링 지원 정책을 통해 온실가스 감축목표 달성과 취약계층 에너지 빈곤 개선에 크게 이바지할 수 있을 것으로 기대한다. 이러한 정부와 민간의 노력은 탄소 국경세, IRA 장벽을 극복해나가는 데 도움이 될 것이다.
Ⅲ. 분석 모형 및 분석 자료
1. 분석 모형
경제성 평가 방법은 다양한 기법이 사용되며 순현재가치(NPV) 기법, BC비율(Benefit-Cost Ratio), 내부수익률(IRR) 기법 등의 방법이 주로 사용되고 있다. 이처럼 다양한 경제성 분석 기법이 있음에도 불구하고 투자 수익의 불확실성(Uncertainty)과 투자의 비가역성(Irreversibility)이 존재하는 현실에서 고전적인 순현재가치법 등으로는 이를 제대로 다룰 수 없다는 한계가 존재하기 때문에 실물옵션 방법론이 필요하다는 지적이 있다(박호정, 2017). 따라서 불확실성 또는 투자 사업의 리스크를 반영한 보다 과학적인 방법론인 실물옵션 모형으로 그린리모델링 투자 사업에 대한 투자 임계점을 도출하고자 한다. 본 연구에서는 근대문화유산인 서울시청을 대상으로 리모델링 투자가치를 분석한 옥성수・박호정(2011)의 실물옵션 모형으로 추정하고자 한다.
그린리모델링 투자 사업으로 얻게 되는 편익은 크게 두 가지로 구분할 수 있다.
첫째, 고성능 창호, 단열, 열교차단 장치 등 에너지 손실을 최소화하여 얻게 되는 에너지 절감액이다. 둘째, 그린리모델링 사업으로 온실가스 감축효과를 통해 온실가스 감축량을 배출권거래제를 통해 얻게 되는 판매 수익이다. 또한, 추가적으로 그린리모델링 효과로 인해 건물가치 상승효과가 기대되는데 이에 따른 임대 수익, 유지관리비 절감, 건축기준 완화로 얻게 되는 임대료 수익, 세금 감면 효과, 추가 보조금 등을 고려할 필요가 있다(정유미 외, 2023).
따라서 본 연구에서는 그린리모델링 사업으로 얻게 되는 잔존가치를 임대 수익료를 대리변수로 사용했다. 임대 수익 금액은 서울시 공공임대주택 임대료를 기준으로 잔존가치 변수로 처리했다. 본 연구에서는 박기현(2021)의 연구의 연간 에너지 절감액(도시가스 요금, 전기요금)을 편익으로 하고 아래 식 (1)과 같이 기하학적 브라운 확률과정(GBM)을 따른다고 가정한다.
여기서, 𝛼는 총 에너지요금(도시가스와 전기요금)의 증가율, 𝜎는 에너지 요금(도시가스와 전기요금)의 변동률을 나타내며, 는 시간의 증가분이다. 는 위너과정(Wiener Process)을 따른다고 정의한다. 사회적 할인율(국고채 10년 할인율) 이 주어질 때, 그린리모델링 투자 사업으로 인해 발생하는 편익 등의 가치함수를 다음 식 (2)와 같이 정의한다.
여기서, 는 도시가스요금, 전기요금 변수들의 불확실성을 고려하기 위한 기대연산자이다. 연간 에너지 비용이 절감되면 투자 사업의 가치 이 증가하는데, 이것은 그린리모델링 이후 확보되는 에너지 비용이 감소함에 따라 얻게 되는 기회 편익이 증대되었기 때문이다. 또한, 기존 건물의 온실가스 배출량이 그린리모델링 이후 감소되기 때문에 얻게 되는 편익인 역시 그린리모델링 사업의 가치 와 양(+)의 관계를 갖게 된다. 아울러 그린리모델링 이후 건물의 내구연수인 가 증가하는 것도 그린리모델링 투자 사업의 가치함수 을 증대시키는 효과를 보이게 된다. 다음으로 그린리모델링 투자 사업의 옵션 가치를 구해야 한다. 시점 에서 까지 연속하여 그린리모델링에 대한 옵션을 가지고 있다고 가정하면, 이때의 옵션 가치는 로 표현 할 수 있다. 매 기간 최적화를 위한 해밀튼 벨만 방정식(Hamilton Jacobi Bellman equation)을 활용하면 다음 식 (3)과 같이 정의된다.
계속해서 벨만의 동적 계획을 정의하면 아래 식 (4)와 같이 전개할 수 있다(옥성수・박호정, 2011).
따라서 그린리모델링 투자 사업의 옵션가치 를 도출할 수 있다. 는 옵션상수(Option Constant)이다. 𝛽는 동차방정식의 특성근의 양(+)의 해로 다음 식 (5)와 같은 값을 가지게 된다.
총 에너지요금(도시가스 가격(요금) 또는 전기 요금(가격)) 증가율인 𝛼와 가격 변동률 𝜎의 크기에 따라 𝛽는 변하게 된다. 투자옵션의 가치는 에너지 비용, 가격이 증가함에 따라 상승하기 때문에 음의 특성근은 제외하여 𝛽>1 의 양(+)의 특성근 조건을 만족시켜야 한다. 따라서 투자로 인한 편익 이 증가하면 그린리모델링의 옵션가치인 은 증가한다. 할인율이 에너지 가격 증가율보다 클 때 본 연구에서의 분석이 의미 있을 것이다. 다음으로 투자 편익을 최대화하기 위해서는 최적의 투자임계점, 정부 보조금 비중 , 최적 투자시점 을 도출해야 한다. 이 때 사업에 대한 투자비용을 고려해야 하는데 그린리모델링 사업의 투자비용을 로 정의하며, 정부 지원금을 로 정의한다. 확률과정을 따르는 이 어느 투자 임계점 에 도달할 때 까지는 그린리모델링의 경제적 가치가 투자비용에 비해 낮지만, 에너지 절감 비용 및 온실가스 감축으로 인한 편익 등의 수준이 에 도달하는 순간 투자를 실행하는 것이 최적이다. 즉 이 1이 상이 될 때 투자를 즉시 이행하는 것이 최적의 투자 결정이라 볼 수 있다는 해석이다. 아래의 최적투자임계점 는 경계조건은 등가조건과 한계조건을 이용하여 추정한다. 등가조건은 다음 식 (6)과 같이 표현한다.
등가조건은 최적의 투자임계점이 되는 에서 투자의 옵션가치와 순편익(순현재가치)이 같아지도록 해준다. 이때 순현재가치는 순편익의 현재가치에서 투자비용 를 차감한 값이 된다. 만일 이 보다 크다면, 투자의 옵션가치가 투자의 순편익의 현재가치 보다 크기 때문에 투자옵션을 즉시 진행하기 보다는 사업의 연기 또는 보류시키는 것이 합리적인 투자 결정이라 할 수 있다. 다음으로 투자의 한계(1계 미분)투자옵션과 한계(1계 미분) 순현재가치를 일치시켜 주는 한계조건은 다음 식 (7)과 같다.
등가조건과 한계조건 식을 통해 최적의 투자임계점 와 옵션 상수 는 아래 식 (8), (9)와 같이 도출할 수 있다.
최적 투자임계점과 옵션 상수 도출 식을 통해 비교정태분석을 살펴보면 식 (10)과 같다.
먼저 그린리모델링 투자비용 가 증가할수록 최적 투자임계점 를 상승시킨다. 시장가격 보다 투자임계점 가 증가하는 속도가 빠를수록 그린리모델링 투자시기를 연기하는 것이 합리적인 투자 결정이라 해석할 수 있다. 반면 정부의 보조금 비중과 온실가스감축으로 인한 편익이 증가할수록 가 감소하기 때문에 즉시 투자를 실행하는 것이 합리적인 판단이라 할 수 있다.
잔존 가치를 반영한 그린리모델링 투자 옵션 모형은 식(10)을 통해 추정하였다. 투자 사업 만기 시점에서의 사업의 잔존가치(청산가치) 를 현재가치로 환산한 가치로 과 같이 표현한다. 정유미 외(2023)의 연구에서 그린리모델링 효과에 대한 추가적인 연구가 필요함을 강조한 만큼 본 연구에서는 리모델링 사업으로 얻게 되는 건물가치 상승에 따른 임대료 수익을 잔존가치로 추가하여 아래 식 (11)과 같이 경제성을 분석하고자 하였다.
2. 분석 자료
1) 자료 수집 및 처리
(1) 도시가스와 전기요금 데이터3)
<표 3>
그린리모델링 투자 사업에 대한 파라미터 값
| 구분 | 내용 | 출처 | 비고 |
| 사업기간() | 50년 | 박기현(2021), 에너지경제연구원 | |
| 초기투자비용() | 13,500,000원/가구당 | 박기현(2021) | |
| 할인율() | 국고채10년 평균 할인율: 3.37%(2022년) | 한국은행 경제통계시스템 (ECOS) | |
| 연간절감액() |
• 총 에너지(A+B)절감액 :484,000원/연간 A) 전기요금 절감액 : -55,700원/연간 B) 열에너지(가스요금)절감액: 539.400원/연간 | 박기현(2021) | |
|
온실가스감축량 () (환산 금액) |
• 0.81 × 27,400= 22,194원 - 노후공공임대주택 가구당 연간 평균(2020-2025) 0.81톤 감축량을 배출권거래제를 통한 (2022년 8월 기준: 27,400원/1톤당) 판매 수익으로 환산한 금액 | 손인성・김동구(2022) | |
| 잔존가치() |
• 623,090원 - 월 임대료 28만원(연간 336만원) 을 현재가치로 환산한 금액 - 그린리모델링으로 인한 건물 가치 상승을 서울시 국민임대 주택4) 임대료로 환산한 금액 | 옥성수・박호정(2011)의 논문에서 투자 사업효과 편익을 건물 임대료로 추정함. | |
| 가격 증가율(𝛼) |
• 연간 총에너지 요금 : 0.02648 - 연간 열에너지 도시(도매)가스 : 0.02803 - 연간 전기요금 : 0.02729 |
한국도시가스협회/ 전력거래소 | Tsay(2002) |
| 가격 변동률 (𝜎) |
• 연간 총에너지 요금 : 0.13454 - 연간 도시가스(도매)요금 : 0.15074 - 연간 전기요금: 0.06654 |
한국도시가스협회/ 전력거래소 | Tsay(2002) |
그린리모델링 투자사업에 대한 파라미터 값은 <표 3>과 같다. 도시가스 요금 데이터는 한국도시가스협회에서 제공되는 2013년부터 2022년 연간 주택용 도시가스 도매가격 시계열 자료를 이용했다. 또한, 전기요금 데이터5)는 전력거래소의 전력통계시스템(EPSIS) 제공하는 주택용 판매단가 연도별 시계열 자료를 이용했다. 기하학적 브라운 과정(GBM)을 따르는 총 에너지 요금(도시가스 가격과 전기요금)의 증가율 𝛼와 σ를 Tsay(2002)의 추정방법을 통해 도출하였다.
로그정규분포 조건으로 으로 가정하고 시간 간격(time interval)을 △으로 표현할 때, 의 평균 과 분산은으로 정의된다. 이를 통해 의 표본평균 와 표본편차 에서 도시가스와 전기요금의 기대증가율은 이 도출 되고, 순간 변동률은 으로 도출한다. 연도별 가격 및 요금을 사용했기 때문에 △는 1로 추정하였다 .
(2) 할인율6)()
할인율은 한국은행 경제통계시스템(ECOS) 국고채평균 10년 자료를 사용하여 실물옵션모형 방정식의 양의 특성근 𝛽와 옵션승수(option multiplier)를 유도하게 된다. 또한 민감도 분석을 통해 할인율에 따른 최적투자임계점을 도출하여 변수들의 변동 가능성을 반영하였다. 본 연구에서는 할인율 3.37%를 기본으로 하고 4%에서 10%까지의 민감도 분석을 통해 최적의 투자임계점을 도출하였다.
(3) 초기투자비()
<표 4> 와 같이 초기투자비는 박기현(2021)의 그린리모델링 사업 평가 보고서에서 설정한 가구당 13,503,000원으로 하였다. 초기 투자비 600만원에서 1억5천만 원까지 민감도 분석을 통해 최적 투자임계점을 유도했다.
(4) 정부지원금()
박기현(2021)의 자료에서는 정부 지원 비율을 0%에서 50% 수준까지 가정하였다. 정부 지원금은 초기투자비용의 최대 675만원 까지 지원하고 자가 부담은 최저 675만원으로 분석했다. 기존 선행 연구에서 정부 지원금과 민간 이자지원을 통해서도 경제성을 확보하지 못한 부분을 확인하였다. 특히 박기현(2021)의 연구에서는 투자회수기간이 최대 27년이 걸렸고, 정유미 외(2023) 연구에서도 B/C 분석결과 공동 주택 0.38로 경제성을 확보하지 못했다. 반면 박기현(2021)의 연구에서는 정부 지원이 있을 경우 투자회수 기간이 26년에서 21년으로 단축된다는 결과를 확인했다. 또한 정우석・서상택(2013)의 연구에서 지열난방시스템의 경우 정부가 투자비용의 80%까지 지원한 사례가 있기 때문에, 본 연구에서는 정부 지원 비율에 대한 최적투자임계점을 도출했다. 정부지원금에 대한 민감도 분석을 통해 최적 투자임계점을 도출하였는데 초기투자비에 대한 정부의 지원 비율이 70%(9,452,100원) 수준일 때 경제성을 확보할 수 있는 것으로 나타났다.
(5) 연간 에너지요금 절감액
연간 총 에너지요금 절감액은 박기현(2021)의 그린리모델링 사업 평가 보고서7)와 같이 484,000원으로 분석했다. 연간 전기요금 절감액은 가구당 (-)55,700원, 열에너지 도시가스 절감액은 539,400원이다.
(6) 사업기간
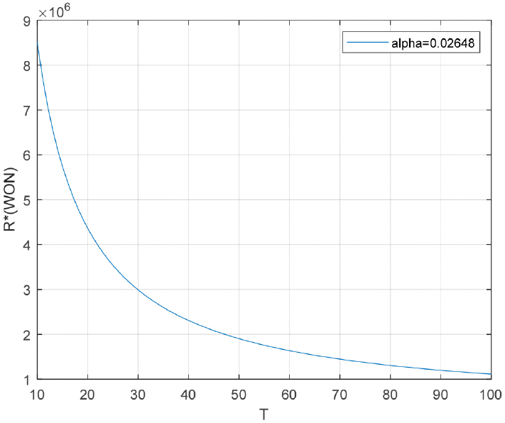
사업기간은 박기현(2021)의 연구와 같이 50년으로 설정하여 진행하였다. 사업기간(내구연한)에 대한 민감도 분석을 10년에서 100년까지로 하여 최적의 투자임계점을 유도했다.
(7) 온실가스감축량(온실가스 감축 금액8))
온실가스감축량은 손인성・김동구(2022)의 연구에서 노후 공공임대주택 그린리모델링 사업에서의 온실가스 감축효과 분석 결과를 활용했다. 2020년부터 2025년까지의 감축효과가 가구당 연평균 0.81 톤으로 설정하였다. 배출권 거래 제도를 통해서 온실가스 감축량을 판매시 얻게 되는 수익을 금액으로 환산했다. 본 연구에서는 에너지 요금 가격 데이터를 2013년부터 2022년까지의 자료를 이용했기 때문에 배출권거래 금액은 2022년 8월 18일 기준으로 27,400원인 것으로 확인되어 연평균 감축량에 배출권 시세 조회를 통해 얻게 된 배출권 거래 가격을 곱하여 추정하였다. 연간 온실가스감축 금액은 22,194원으로 설정하여 분석을 진행했다. 참고로 손인성・김동구(2022, p.146)의 연구에서는 온실가스 감축효과 분석을 위해 한국토지주택공사의 자료를 이용하여 세대통합 그린리모델링 사업(100호)에 따른 에너지 절감률은 41%, 단일세대 그린리모델링 사업(200호)은 34%, 매입임대 시설개선(10,000호)은 29%로 가정하여 온실가스 감축량을 추정한 바 있다.
(8) 잔존가치()
정유미 외(2023)의 연구에서 그린리모델링 효과로 인해 건물가치가 상승하게 되어 얻게 되는 임대 수익료, 유지관리비 절감, 세금 감면, 추가 보조금 지원금 등을 고려한 경제 분석이 필요하다고 했다. 홍원경・박호정(2011)의 조림 CDM(Clean Development Mechanism) 사업 경제성 분석에서도 사업 만료시의 토지매각대금, 대규모 벌채 수입 및 부대비용 등을 잔존가치로 설정하였다. 본 연구에서는 정유미 외(2023)의 연구에서 제시한 임대 수익료를 잔존가치로 하였다. 임대 수익료는 서울시의 국민임대주택 임대료를 기준으로 하여 분석했다. 는 사업 만기 시점에서의 사업의 잔존가치를 현재가치로 환산한 가치로 이다. 이를 통해 도출한 잔존가치는 623,090원이다.
<표 4>
그린리모델링 사업추진을 위한 경제성 모형 구축 사례
Ⅳ. 분석 결과
1. 가스요금, 전기요금 추세 및 단위근 검정
[그림 2]는 2013년부터 2023년까지 도시가스요금(주택용 도매)과 전기요금(판매단가)의 가격 추세를 보여주고 있다. 주택용 도시가스 요금은 평균이 16.07원/MJ이며 최고 가격은 21.16원, 최소 가격은 12.92원이다. 도시가스 가격의 표준편차는 2.95 원이다. 전기요금(판매단가)은 평균이 118.71원/KWH이며, 최고 149.80원, 최저 가격은 104.95원이다. 전기요금의 표준편차는 13.26원인 것으로 분석되었다.
<표 5>
단위근 검정결과
| 변수 | ADF | PP | ||
| Level | Level | |||
| 상수항 | 상수항과 추세항 | 상수항 | 상수항과 추세항 | |
| 가스요금 | -2.916 | 0.133 | -1.503 | 3.377 |
| 전기요금 | -0.754 | 2.444 | -0.781 | 5.449 |
도시가스 및 전기요금의 가격이 기하학적 브라운 운동(Geometric Brownian Motion: GBM) 과정을 따르는지 평균회귀(Mean reverting process: MRP)의 확률과정을 따르는지는 가격의 시계열 자료를 단위근 검정결과를 통해 확인할 수 있다. 도시가스, 전기 요금 가격 변수가 단위근을 가질 때 해당 변수는 [그림 2]와 같이 시간의 흐름에 따라 증가 또는 감소하는 추세를 가진다. 반면, 단위근을 가지지 않을 때에는 시간의 흐름에 따라 장기적으로는 평균값으로 회귀하는 특징을 가진다. 단위근이 존재하면 GBM 과정을, 단위근이 존재하지 않는 경우는 MRP를 따르는 것으로 가정하여 실물옵션 분석을 할 수 있다.
<표 5>와 같이 단위근의 존재 여부는 오차항의 자기상관 문제를 해소하기 위해 개발된 ADF(Augmented Dickey-Fuller), PP(Phillips-Perron)검정을 실시했다. 절편(intercept)과 추세(trend)를 모두 포함하여 검정하였다. 검정결과, 2개의 가격 모두 5% 유의수준에서도 단위근을 가진다는 귀무가설을 기각하지 못하였다. 따라서 도시가스, 전기요금(판매단가) 가격변수들은 GBM 확률과정을 따른다고 할 수 있다.
2. 정부 지원 비율에 따른 최적 투자임계점 도출
제II장에서 소개된 분석 자료들의 각 파라미터 값을 식 (8)에 대입하여 최적 투자임계점 을 구할 수 있다. 우선 정부지원 가 0인 경우, 순현재가치의 경제성은 다음과 같이 유도한다. 에너지절감 편익인 9)이 484,000원 대비 식 (8)에 의해 도출한 값이 충분히 높을 경우 경제성이 있다는 것을 의미한다. 즉, 이 1보다 작으면 사업의 경제성이 없으며, 이 1보다 크다는 것은 투자임계점의 목표가격 대비 에너지절감 등의 편익이 충분히 높기 때문에 경제성을 확보했다고 해석할 수 있다. [그림 3]과 같이 정부 지원비중이 높을수록 최적 투자임계점은 하락하는 것으로 나타났다. 실제 정부지원이 없는 경우, 순현재가치법의 은 총 에너지요금 1.57로 나타나 전기요금을 제외하고 그린리모델링 투자사업은 경제성이 있는 것으로 나타났다. 반면 실물옵션의 은 총 에너지요금 0.25로 투자임계값의 목표가격 대비 에너지 절감 편익 금액이 각각 22%, 3%, 25%에만 영향을 미치기 때문에 경제성이 부족한 것으로 확인됐다. 순현재가치법과 실물옵션의 경제성 유무가 상반되게 나타난 것은 가격변동성 σ가 크기 때문이다. 와 의 차이가 6배에서 8배에 이르는 것은 옵션승수의 값인 𝛽/𝛽-1 때문이다.
<표 6>
정부지원 비율에 따른 최적투자임계점 분석 결과
| 정부지원 비율(%) | 0 | 10 | 20 | 30 | 40 | 50 | 60 | 70 | 80 | 90 | |
| 실물옵션 | 총 에너지 | 0.25 | 0.28 | 0.32 | 0.37 | 0.44 | 0.53 | 0.68 | 0.94 | 1.52 | 4.05 |
| 순현재가치 | 총에너지 | 1.57 | 1.75 | 1.98 | 2.28 | 2.69 | 3.27 | 4.18 | 5.78 | 9.39 | 24.96 |
<표 6>과 같이 정부 지원 비율이 70%일 때 현재가치법으로 추정한 총 에너지요금 의 는 5.78로 경제성을 확보하였으며, 실물옵션방법으로 도출한 은 0.94로 나타났다. 정부 지원 비율을 80%까지 확대하면 총 에너지요금 1.52로 경제성을 확보할 수 있었다. 이러한 결과를 통해 그린리모델링 사업의 경제성을 확보할 수 있는 정부 지원 비율은 최소 70%에서 80% 이상이 되어야 함을 알 수 있었다. 본 연구에서는 경제성을 확보할 수 있는 정부 지원 비율을 70%로 가정하고, 도시가스요금, 전기 판매 단가를 포함한 총 에너지요금 기준으로 한 기대가격증가율과 순간변동률로 실물옵션 분석과 민감도 분석을 실시했다.
3. 할인율별 최적 투자임계점 및 경제성 분석
<표 7>은 할인율 변화에 따른 최적 투자임계점의 경제성 분석 결과를 나타내고 있다. [그림 4]와 <표 8>은 할인율 변화에 따른 최적 투자임계점 분석결과를 나타내는데, 할인율이 증가함에 따라 최적 투자임계점이 증가함을 확인할 수 있다. 할인율의 증가는 그린리모델링 투자 사업에서 발생하는 미래 현금흐름의 가치를 하락시키는 것으로 투자 사업자가 충분한 에너지절감효과, 온실가스감축 등으로 인한 기대수익을 확보할 수 있는 시점까지 투자를 기다릴 필요가 있다.
<표 7>
할인율 변화에 따른 최적투자임계점의 경제성 분석 결과
| 할인율(%) | 5 | 6 | 7 | 8 | 9 | 10 | |
| 실물옵션 | 총 에너지 | 1.43 | 1.40 | 1.30 | 1.20 | 1.10 | 1.00 |
| 순현재가치 | 총 에너지 | 3.91 | 3.17 | 2.63 | 2.23 | 1.92 | 1.68 |
<표 8>
할인율 변화에 따른 최적투자임계점 분석 결과
| 할인율(%) | 5 | 6 | 7 | 8 | 9 | 10 | |
| 실물옵션 | 총 에너지 요금(원) | 338,660 | 346,630 | 371,260 | 404,040 | 441,500 | 481,840 |
| 순현재가치 | 총 에너지 요금(원) | 123,930 | 152,550 | 183,770 | 217,180 | 252,360 | 288,930 |
4. 초기투자비용과 정부 지원에 따른 민감도 분석
[그림 5]는 매몰비용이 초기투자비용 와 정부지원 비율 변화에 대한 최적투자임계점 변화의 민감도 분석을 나타낸다. 초기투자비용이 증가함에 따라 투자임계점은 증가하고 있고, 정부 지원 비중이 증가함에 따라 최적투자임계점이 낮아지고 있는 것을 확인할 수 있다. 비용요소인 초기투자비용은 투자 사업의 매력도를 감소시켜 최적투자분기점을 상승시키는 효과를 가지는 반면, 정부 지원 비중이 높아짐에 따라 자가 부담이 감소하여 투자에 적극적으로 유인할 수 있는 요인으로 작용함을 알 수 있었다.
5. 초기투자비용과 온실가스 감축 금액에 따른 민감도 분석
[그림 6]은 온실가스감축량을 배출권 거래 제도를 통해 얻은 판매 수익인 온실가스 감축액이 증가함에 따라 최적투자임계점은 감소하고 있다. 따라서 즉시 투자를 실행하여도 충분한 수익을 기대할 수 있다. 최적투자임계점이 온실가스감축금액 보다 초기투자비용에 더 민감하게 반응하고 있다. 사업 투자자는 정부의 지출 비중을 높여 자가 부담을 줄이고 온실가스 감축 효과, 에너지 절감 비용 등의 편익이 충분히 높을 때 까지 기다림의 가치를 얻도록 해야 한다.
[그림 7]은 온실가스 감축 효과(배출권 거래제)에 따른 최적투자임계점 변화를 표현하고 있다. 온실가스 감축량이 증가하여 배출권 거래 제도나 탄소세로 인한 수익이 확보될 경우, 최적투자임계점을 낮추는 작용을 하는 것으로 나타났다. 따라서 본 연구의 분석결과를 토대로 에너지 절감액이나 초기투자비용 지원 등의 직접적인 효과 이외에도 간접적 그린리모델링 효과에 대한 분석 또한 필요함을 확인할 수 있었다.
6. 가격증가율과 할인율, 𝛽에 따른 민감도 분석
[그림 8]은 할인율()과 기대가격증가율(𝛼)에 대한 𝛽의 민감도 분석 결과이다. 가격증가율이 증가할수록 𝛽값은 감소했고, 할인율이 증가할수록 𝛽값은 증가했다. 할인율과 가격증가율이 같을 경우 𝛽의 값은 1이 된다. 𝛽는 동차방정식의 양(+)의 특성근으로 𝛽가 1보다 커야 하기 때문에 할인율이 기대 가격증가율 보다 커야 한다. 가격증가율이 일정하고 할인율이 증가하는 경우 𝛽는 증가하게 된다. 반면, 할인율이 일정하고 가격증가율이 증가할 경우 𝛽값은 감소하게 된다. 따라서 투자지연 승수인 옵션승수(option multiplier)는 반대 방향으로 움직인다.
7. 순간변동률과 할인율에 따른 최적투자임계점 변화
[그림 9]는 순간변동률이 증가할수록 최적투자임계점이 높아진다는 것을 알 수 있다. 순간변동률이 증가한다는 것은 그린리모델링 사업의 변동성이 커짐을 의미하기 때문에 투자 매력도가 떨어진다. 이를 상쇄하기 위해 수익률의 증가가 필요하기 때문에 최적의 투자임계점을 상승하게 되는 것이다.
8. 잔존가치를 반영한 최적투자임계점 변화
잔존가치를 고려한 파라미터 값에 따른 각각의 최적투자임계점 및 경제성 분석 결과는 <표 9>와 같다. 현재가치법의 총 에너지 요금의 투자임계점은 30만 8천원으로 도출되었다. 반면 실물옵션 투자임계점은 190만원으로 도출되어, 순현재가치법으로 계산된 것보다 약 6배에서 8배 더 높게 나타났다. 이러한 차이는 가격 불확실성과 투자의 비가역성 등을 반영한 결과이다. 따라서 투자 사업의 경제성 분석 시 시장의 불확실성을 고려한다면 보다 합리적인 의사결정이 가능 할 것이다. 정부 지원이 없는 경우, 순현재가치법의 경제성은 확보되는 것으로 확인되었지만, 실물옵션방법론에서의 경제성이 확보되지 않았다. 투자임계값의 목표가격 대비 총 에너지 요금은 25% 수준으로 나타나 충분한 수익이 확보될 때 까지 투자 시점을 늦추는 것이 합리적인 투자 의사결정이라 할 수 있다.
<표 9>
잔존가치를 고려한 그린리모델링 투자 사업의 최적투자임계점 분석 결과
9. 잔존가치와 정부지원 비율에 따른 최적투자임계점 민감도 분석
[그림 10] 은 잔존가치와 정부 지원 비율 변화에 대한 투자임계점 민감도 분석 결과이다. 잔존가치와 정부비율이 증가함에 따라 최적투자분기점은 하락했다. 투자분기점이 하락하는 추세에는 투자 시점을 앞당길 필요가 있음을 의미한다.
10. 잔존가치를 반영한 사업기한에 따른 최적투자임계점 변화
[그림 11]과 같이 잔존가치를 반영한 사업기한(투자회수기간)에 따른 최적투자임계점은 사업기한이 증가함에 따라 최적투자임계점이 하락했다. 잔존가치를 반영하고 정부 지원이 0원인 경우 실물옵션 방법론에서는 경제성이 없었다. 현재가치법에서는 정부 지원이 0원인 경우 투자회수기간은 30년으로 확인됐다. 초기 투자비용의 정부지원이 70%인 경우 실물옵션에서는 총 에너지요금이 50년이었다. 순현재가치법으로 분석한 결과, 즉시 투자를 실행하여도 경제성을 확보할 수 있는 매력적인 투자 사업인 것으로 나타났다. 잔존가치를 고려하여 분석한 결과, 박기현(2021)의 투자회수기간 26년과 유사한 결과가 도출되었다.
Ⅴ. 결론 및 정책제언
1. 연구요약 및 정책 제언
본 연구는 그린리모델링 투자 사업에 대한 경제성 분석 연구가 부족한 상황에서 순현재가치법과 시장 가격 불확실성을 고려한 실물옵션 모형을 비교하여 그린리모델링 사업에 대한 경제성 분석과 정부의 최적 투자임계점, 지원 비율을 제시하는 데 의의가 있다. 불확실성을 고려하지 않은 전통적인 경제성 평가 중 하나인 순현재가치법(NPV)과 실물옵션 분석의 투자임계 가격은 상반된 결과가 도출 되었다.
잔존가치를 고려한 순현재가치법을 사용한 최적투자임계점은 30만 8천 원으로 도출되었다. 반면, 실물옵션 투자임계점은 190만 원으로, 순현재가치법(NPV) 보다 약 6배에서 8배 더 높게 나타났다. 이러한 차이는 가격 불확실성과 투자의 비가역성 등을 반영한 결과이다. 따라서 투자 사업의 경제성 분석에 있어서 좀 더 시장의 불확실성을 고려할 때 보다 합리적인 의사결정을 할 수 있을 것이다. 정부 지원이 없는 경우 현재가치법을 사용한 경제성은 확보되는 것으로 확인됐다. 반면 실물옵션방법론을 적용한 경제성을 확보하지 못했다. 투자임계값의 목표가격 대비 25% 수준으로 나타나 충분한 수익이 확보될 때 까지 투자 시점을 늦추는 것이 합리적인 투자 의사결정이라 할 수 있다.
실물옵션 분석결과, 그린리모델링 사업의 경제성을 확보할 수 있는 정부의 지원 비율은 70%에서 80% 이상이 되어야 함을 알 수 있었다. 온실가스 감축량이 증가하여 배출권 거래 제도나 탄소세로 인한 수익이 확보될 경우, 최적투자임계점을 낮추는 작용을 하는 것으로 나타났다. 잔존가치와 정부비율이 증가함에 따라 최적투자분기점은 하락했다. 투자분기점이 하락하는 추세에는 투자시점을 앞당길 필요가 있음을 의미한다.
정부 지원이 초기투자비의 70%인 경우, 실물옵션 방법론에서의 총 에너지 요금은 50년 일 때 초기투자비용을 회수할 수 있는 것으로 확인됐다. 순현재가치법으로 분석하였을 때, 즉시 투자를 실행하여도 경제성을 확보할 수 있는 매력적인 투자 사업인 것으로 나타났다. 순현재가치법에서 정부 지원이 0원이며 잔존가치를 반영할 경우 투자회수기간 30년으로 나타났다. 우리나라도 영국, 프랑스, 독일, 미국 등의 선진국처럼 장기적인 관점에서 무이자지원, 정부 보조금 지원 등 그린리모델링 지원 정책으로 온실가스 감축목표 달성과 취약계층 에너지 빈곤 개선에 큰 기여를 할 수 있을 것으로 기대한다. 이러한 정부와 민간의 노력들이 탄소 국경세, IRA 장벽을 극복해나가는 데 도움이 될 것이다.
본 연구의 한계점은 다음과 같다. 배출권 가격의 불확실성이 존재한다. 그린리모델링으로 인한 온실가스 감축량이 실제로 집계된 데이터가 아니라는 점과 모형에 배출권 가격 불확실성을 반영하지 못한 한계점이 있다. 따라서 실제 그린리모델링 사업으로 인해 얻게 되는 실측자료를 이용하여 2개의 상태변수를 추가한 M4 모형으로 좀 더 정교한 투자 사업의 경제성 분석이 요구된다.
본 연구에서 온실가스 감축량이 증가하면서 배출권 거래 제도나 탄소세로 인한 수익이 확보될 경우, 최적투자임계점을 낮추는 작용을 한 것을 확인했다. 따라서 본 연구의 분석 결과를 토대로 에너지 절감액이나 초기투자비용 지원 등의 직접적인 효과 이외에도 간접적 그린리모델링 효과에 대한 분석 또한 필요함을 확인할 수 있었다. 이러한 시사점을 토대로 온실가스 감축에 대한 인센티브가 필요할 것이다. 예를 들어 「녹색건축물조성지원법」 제25조, 제26조, 제27조 에 따라 그린리모델링 공사에 대한 지원 근거가 마련되어 있다. 따라서 온실가스 감축량에 대한 모니터링과 보상체계가 작동한다면 그린리모델링 사업이 더욱 활성화 될 것이다. 에너지 소비절감 계획 및 온실가스 감축 계획 보고서 등을 통한 사후 모니터링 제도 도입 역시 필요해 보인다. 차상위 계층을 우선으로 하여 초기 투지비용에 대한 지원 비율을 확대하고 선진국 사례에서 볼 수 있듯이 무이자 지원, 국가 보조금 지급, 에너지 바우처 지급 등의 제도를 명문화하여 에너지성능 개선과 온실가스 감축 정책 효과를 극대화할 필요가 있을 것이다. 「녹색건축물조성지원법」에 따른 에너지 효율 등급 인증제도와 유지관리 및 점검 의무화 제도 도입 등도 검토할 필요가 있다.













